点击数:66402013-09-01 21:59:15 来源: 《华夏都氏寻根录》第一辑
河南省安阳市滑县万古镇寺台村都氏的历史资料
河南安阳滑县万古镇寺台村是都姓人聚居地之一,这里有两支都姓人,并建有两座都氏宗祠。2008年当地族人都耀中先生提供了万古镇寺台村都氏族谱资料及家庙照片。
当地其中一支都氏,其族谱资料表述的比较详细。这份都氏族谱为《都世箓谱》,最初形成年代为“大明崇祯七年(1634)岁次甲戍孟冬望月”,都开运手著。之后,清康熙十二年(1673)都恒信重录,清乾隆二十年(1755)都俊杰重修,清嘉庆十年(1805)都大用、都万锺、都七步协力重修。其中的《族谱引》提到:“都氏族谱谱都氏之族也,都氏系前朝都督府大元帅之后,迄今世代遥远兼蔓延繁多,其详不可得闻也。”先祖的名字提到“歪天成”、“保仲祥”、“保仲宽”等,以及无具体名字称呼的“大老”、“二老”、“三老”、“五老”等,并以“不可考”而未作进一步解释,没有明确其历史来源。这份都氏族谱记载的是“大老”这一支,其他几支则没有表述。在宗祠的墙上,书有“自二十三世起开始排辈以下十个字为顺序:延、宗、文、俊、瑞、少、惠、世、敬、增”。
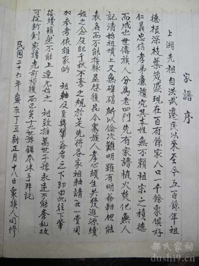
本村另一支都氏的资料为《都氏族谱》,这份都氏族谱形成于民国二十六年,族谱序言称“世传,族人分为老四门,先有家谱,被火焚化。”所以无法考究始祖的活动年代、始居地源于何处等情况,也无法了解何时迁到此地,更无法知晓先前的世系传承。但是,从族谱所列先祖的名单中提及先祖为“都歪天成”,子“都保仲祥”、“都保仲宽”,这与本村的另一支都氏族谱的记载相吻合,说明万古镇寺台村的两支都姓源于同一先祖。




资料提供:安阳都耀中
资料整合:都基民
Copyright © 2008 - 2025 Dushijiaci, All Rights Reserved
都氏家祠 版权所有 转载请注明出处 ICP证:鲁ICP备13026789号-2 技术支持:都百顺